FAG BEARING

Z-544145.TR2 FAG roller bearings

FAG  double row tapered roller bearings of various designs are special  bearings with the designation Z-5..TR2 or F-8..TR2. They comprise solid bearing rings and tapered roller and cage assemblies. The bearings are suitable for axial loads in both directions and high radial loads. Most of the bearings are separable and give a loose fit on the journal. The complete bearing is then mounted in the chock, after which the chock together with the bearing is slid onto the journal. The exception is bearings with an extended inner ring and tapered bore. These give a tight fit on the journal.

Get A Quote
Contact Us

FAG Double row Tapered roller bearings.

Various part numbers in stock, welcome inquiry. Fast shipment within 2-3 working days. 

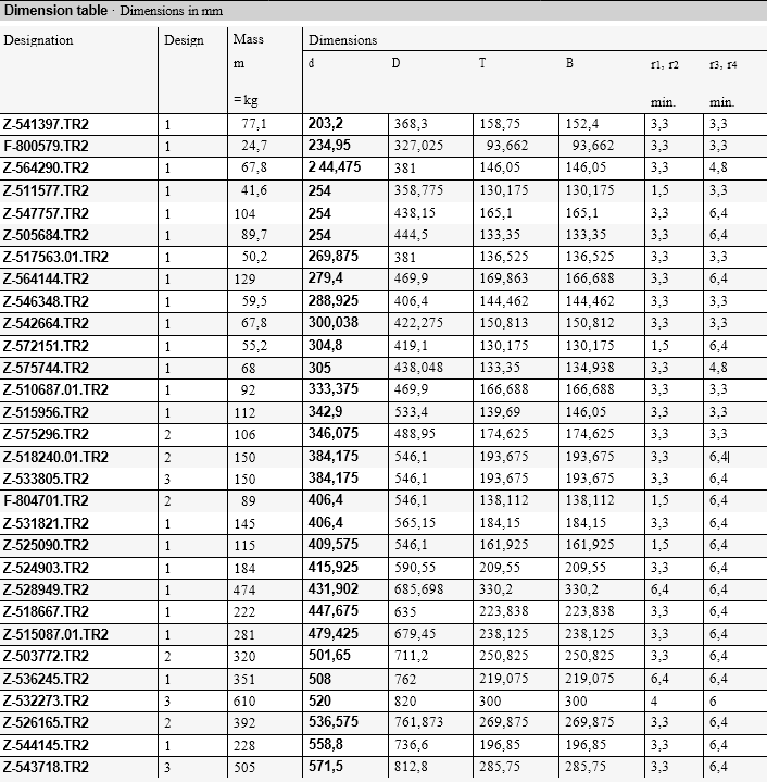
Designation Design Mass Dimensions
m
kg d D T
Z-541397.TR2 1 77,1 203,2 368,3 158,75
F-800579.TR2 1 24,7 234,95 327,025 93,662
Z-564290.TR2 1 67,8 2 44,475 381 146,05
Z-511577.TR2 1 41,6 254 358,775 130,175
Z-547757.TR2 1 104 254 438,15 165,1
Z-505684.TR2 1 89,7 254 444,5 133,35
Z-517563.01.TR2 1 50,2 269,875 381 136,525
Z-564144.TR2 1 129 279,4 469,9 169,863
Z-546348.TR2 1 59,5 288,925 406,4 144,462
Z-542664.TR2 1 67,8 300,038 422,275 150,813
Z-572151.TR2 1 55,2 304,8 419,1 130,175
Z-575744.TR2 1 68 305 438,048 133,35
Z-510687.01.TR2 1 92 333,375 469,9 166,688
Z-515956.TR2 1 112 342,9 533,4 139,69
Z-575296.TR2 2 106 346,075 488,95 174,625
Z-518240.01.TR2 2 150 384,175 546,1 193,675
Z-533805.TR2 3 150 384,175 546,1 193,675
F-804701.TR2 2 89 406,4 546,1 138,112
Z-531821.TR2 1 145 406,4 565,15 184,15
Z-525090.TR2 1 115 409,575 546,1 161,925
Z-524903.TR2 1 184 415,925 590,55 209,55
Z-528949.TR2 1 474 431,902 685,698 330,2
Z-518667.TR2 1 222 447,675 635 223,838
Z-515087.01.TR2 1 281 479,425 679,45 238,125
Z-503772.TR2 2 320 501,65 711,2 250,825
Z-536245.TR2 1 351 508 762 219,075
Z-532273.TR2 3 610 520 820 300
Z-526165.TR2 2 392 536,575 761,873 269,875
Z-544145.TR2 1 228 558,8 736,6 196,85
Z-543718.TR2 3 505 571,5 812,8 285,75
WHCD Bearing Co.,Ltd is professional bearing supplier, engaged in bearing business with more than eighteen years, export to worldwide countries, as America, European, Middle-East, Southeast Asia …etc. with plenty long-term cooperation customers. WHCD Bearing company will provide professional and prompt solution for customers.Original Quality and Warranted, and Bearing experts team support customer service. Various bearing types for customer choose:  
Bearing Types:
Self-aligning ball bearing
Cylindrical roller bearing
Spherical roller bearing
Tapered roller bearing
Angular contact ball
Needle roller
Deep groove ball bearing
Axial deep groove ball
Pillow block bearing and units
LM/Linear Guide
Product Inquiry Form
Scroll to Top